熱線電(dian)話:0755-23712116
郵箱:contact@legoupos.cn
地址:深圳市寶安區沙井街道后亭茅洲(zhou)山工(gong)業(ye)園工(gong)業(ye)大(da)廈(sha)全(quan)至科技創(chuang)新(xin)園科創(chuang)大(da)廈(sha)2層2A
歸一(yi)化變換包含(han)兩個部分,圖像坐標(biao)(biao)的(de)平移和(he)尺度(du)的(de)縮放。進行歸一(yi)化的(de)變換不但(dan)能夠提高處理(li)結果(guo)的(de)精確度(du),而且通過(guo)選擇(ze)一(yi)個標(biao)(biao)準的(de)坐標(biao)(biao)系預先的(de)消(xiao)除了圖像尺度(du)和(he)坐標(biao)(biao)原(yuan)點的(de)選擇(ze)對算(suan)法最終結果(guo)的(de)影響。
歸一化變換的步驟:
1. 對(dui)點(dian)進行平移(yi),讓這(zhe)些點(dian)的圖(tu)心(Centroid)移(yi)到原點(dian)
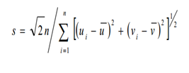
2. 進行尺度縮放,讓這些點的到原點的平均距離為
數(shu)據的(de)(de)(de)歸一化在一些算(suan)法(fa)中是必(bi)須(xu)得,特別是對(dui)一些不太(tai)良定的(de)(de)(de)問題,例如:基本矩陣的(de)(de)(de)計算(suan)以及三焦(jiao)張量的(de)(de)(de)DLT算(suan)法(fa)。
歸一化變換矩陣T的求(qiu)解:
是
的平均值
尺度S為
熱線電(dian)話:0755-23712116
郵箱:contact@legoupos.cn
地址:深圳市寶安區沙井街道后亭茅洲(zhou)山工(gong)業(ye)園工(gong)業(ye)大(da)廈(sha)全(quan)至科技創(chuang)新(xin)園科創(chuang)大(da)廈(sha)2層2A